Skip to main content
SUSL
Exam Results
Download
VLE
Online Teaching
Facebook
YouTube
About
Message from the Dean
Faculty History
Faculty Statistics
Core Values
Faculty Map
Vision and Mission
Contact
Academic
Library
Prospectus
Undergraduate Handbook
Certificate Courses
ADVANCED CERTIFICATE COURSE IN PROFESSIONAL BUSINESS COACHING
Diploma Programme
DIPLOMA IN BUSINESS MANAGEMENT
DIPLOMA IN PROFESSIONAL BUSINESS COACHING
DIPLOMA IN TOURISM AND HOSPITALITY MANAGEMENT
Exam Results
MBA/PGDBA Programme
Ph.D. Programme
Departments
Accountancy and Finance
Business Management
Marketing Management
Tourism Management
Units
Computer Unit
Counseling Unit
Practical Training Unit
Differently-Abled Resources Cell
Language Centre
Quality Assurance
Research
ICMR
MURS
RMP Programme
Research Bulletin
SLFE Conference
Publications
AJMS
Call for Book Chapters
SAJM
Felicitation E-Volume
SAJTH
Management Digest
AJF
LEO Club
Contemporary Issues in Finance
TiP
News Paper Articles
FMS Today
Finance Mirror
Community Outreach
Rideegama - Spritual Tuorism
Mudaliwatta - Mountain Based Community Tourism
Ihalagalagama - ACE Tourism
CESTour
ITCTC
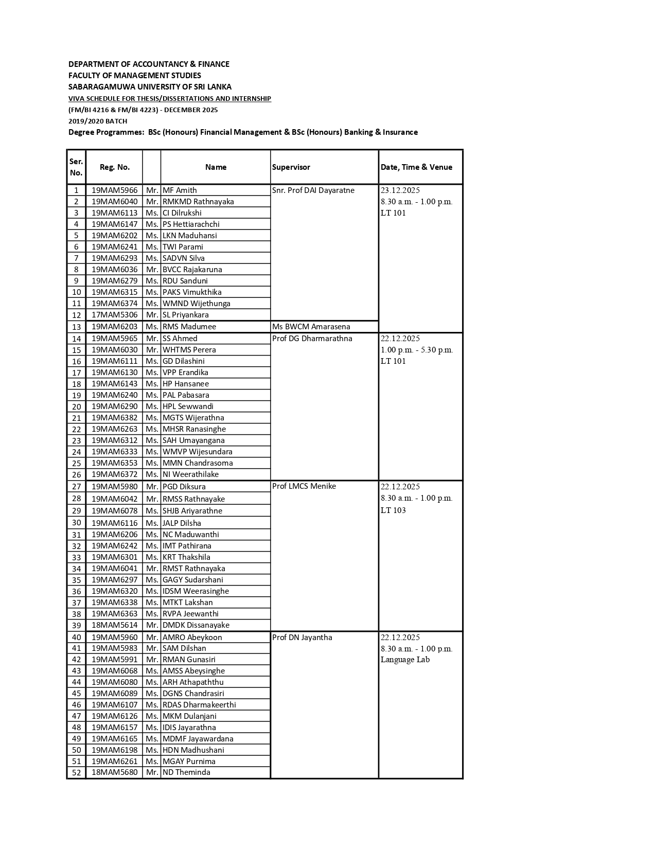
NOTICE TO STUDENTS OF FM & BI (VIVA SCHEDULE FOR 19 MAM BATCH)
Breadcrumb
Home
NOTICE TO STUDENTS OF FM & BI (VIVA SCHEDULE FOR 19 MAM BATCH)
Notices
Dec 16, 2025
Categories
News
Events
Conference
Notices
Old Notices
Recent Posts
Structural Equations Modelling (SEM) Workshop: ICMR 2023
Conference
Jan 01, 2024
MURS 2023
Conference
Jan 01, 2024
Workshop on Systematic Literature Review (SLR)
Events
Jan 02, 2024
The Chiminiya මේ අපේ විදියට
Events
Jan 22, 2024
The Second CESTour Dissemination meeting- GCI, Kathmandu, Nepal
News
Mar 25, 2024
CESTour Conference at BIMTECH, Greater Noida, India
News
Mar 25, 2024
The First CESTour Dissemination Meeting- IPE. Hyderabad, India
News
Mar 25, 2024
The Final CESTour Dissemination Meeting
Events
Mar 28, 2024
The Second Tourism & Hospitality Subject Association's Annual General Meeting!
Events
Mar 28, 2024
The Final Dissemination Meeting of CESTour
News
Apr 02, 2024
Tags
News
Events
Conference
Notices
Old Notices